Bayesian Statistics in examples
Now I don't want to dive into the theory of Bayesian Statistics. I have to admit I need couple of more time to understand it entirely. Now I show some of practical exercises to help people like I to help understand it. in the next part of this draft I show how to build the probability random case calculator (or something in the matter of that).
Example 1
We met one cat many times when we walk for a walk. How many times? Simultaneously we noticed how many times there were rain when we were walking. For the 20 times of walk we met cat 12 times and in the same 20 times of walk we observed 10 times of rain.
We calculate likelihood of met the rain and the cat.
P(A) = 12/20 = 0,6 - Likelihood for the cat
P(B) = 10/20 = 0,5 – likelihood of rain
Somebody remarked the cat and rain have correlated. When we see cat, in short next time we have a rain. Somebody started to observe it and come to the conclusion that probability after cat is 0,7. Simple he met cat 40 times and next 28 times fall the rain.
P(AǀB) = 28/40 =0,7 - the probability of cat and rain together in one walk.
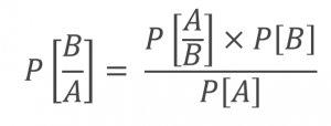
Now somebody asks us what is the probability rain during the next walk?
Substitute to the formule:
Code: 01C0
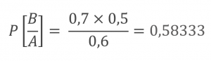
P(BǀA) = (0,7 * 0,5) / 0,6 = 0,58333
Example 1
Bayesian Statistics in examples
A Racing horse win almost always when fall rain. The racing players remarked these regularities and try to calculate likelihood of win.
Probability of rain, for the 100 days 50 times was raining.
P(A) = 50/100 = 0,5
Probability of horse win independent of weather. In the 10 races the horse win 3 times.
P(B) = 10/30 = 0,3
Brokers remarked that during the rain the horse win 9 times on the 10 opportunities (in each official and unofficial race).
P(AǀB) = 0,9
What is probability rain when the horse is winning?
P(BǀA) = (0,9*0,3)/0.5 = 0,54
Example 3
Bayesian Statistics in examples
Student decided to focus on the likelihood of certain phenomena. Students remarked that when one day is chicken soup, next day is dumplings with meat.
Likelihood of chicken soup
P(A) = 0,6
Likelihood of dumplings with meat
P(B) = 0,3
We come into canteen and see chicken soup, probability of dumplings is 0,8.
P(AǀB) = 0,8
We entrance to the canteen, we don't know what kind of soup was yesterday. What is the probability we get our favorite dumplings?
P(BǀA) = (0,8 * 0,3) / 0,6
Bayesian Statistics in examples




